Pharmaceutical Roots: Etoposide – the winding road from folk remedy to chemotherapy drug
Pharmaceutical Roots is a content series from LGC Mikromol - investigating and outlining the natural origins of pharmaceutical substances, and offering a deeper dive into their uses, risks, and mechanisms of action.

Introduction
Etoposide is a leading chemotherapy drug used widely in cancer treatment - but in particular against testicular and small cell lung cancer, which together account for more than 400,000 new cases worldwide each year. Although sourced from a plant used to treat many ailments for centuries, its development as an antineoplastic drug was “very tortuous” – involving the preparation of almost 600 derivatives and more than 30 years of laboratory work. Now, more than half a century after it was first synthesised, researchers believe that etoposide’s journey of “many windings and loops” is still not finished. In addition to making etoposide more effective as a cancer treatment, they are also looking at using it to treat different ailments, and discovering new sources of its raw materials.
History
Etoposide is derived mainly from the plant Podophyllum peltatum, also known as the American Mandrake. Despite the mandrake’s foul smell and mostly poisonous nature, its rhizome was used for centuries by Native Americans to produce a resin that acted as an emetic and a vermifuge - while it has also been used to treat snake bites, as a laxative, and even as a means of suicide when taken in large doses. The resin’s most biologically active component, podophyllotoxin, is also an antimitotic that prevents warts of various types from dividing and multiplying - meaning that they die, and healthy cells eventually grow in their place. Podophyllotoxin was first included in the US Pharmacopoeia in 1820 and first isolated in 1880, while the family it belongs to possesses neurotoxic, insecticidal, antimicrobial, anti-inflammatory, antispasmogenic, hypolipidemic, immunosuppressive, antioxidative, analgesic and cathartic effects. Podophyllotoxin’s structure was first established during the 1930s, and its mechanism of action better understood by the mid-20th century – leading researchers increasingly to study the “remarkable molecule” as a potential cancer therapy.
The Swiss pharmacologist Hartmann F. Stähelin is credited with the discovery of etoposide while working for Sandoz in the late 1950s. He detected an overlooked impurity "with interesting properties" in an extract of the podophyllum plant, which the firm’s chemists later confirmed was effective against tumours. By October 1966, this compound had been modified to produce the leukaemia drug teniposide, as well as etoposide, which began clinical trials in 1971.
Both teniposide and etoposide were later identified as topoisomerase inhibitors: chemotherapeutics that interfere with topoisomerase I and II enzymes in DNA, and block the step of the cell cycle which generates single- and double-strand breaks – a process that ultimately leads to apoptotic death in cancer cells. Although podophyllotoxin’s natural antimitotic properties had long been recognised, Stähelin later reflected that the chemical alterations carried out in the lab had brought about “a dramatic increase in potency, a radical change in mechanism of action, and a quantum step in therapeutic utility.”
In 1978, Sandoz licensed etoposide’s further development to the US firm Bristol-Myers, which five years later received Food and Drug Administration approval to market it in the US. The drug is now a fixture on the World Health Organisation’s Model List of Essential Medicines, with worldwide sales expected to be worth more than $1 billion by 2029.
Etoposide Phosphate
Although etoposide is widely used in cancer treatment, it does have limitations due to its low solubility in water – including variable pharmacokinetics. A number of ester prodrugs have been produced that improve on the parent compound’s solubility whilst retaining its cytotoxic effectiveness. Chief among these is etoposide phosphate, marketed as Etopophos by Bristol-Myers Squibb, which “is rapidly and completely converted to the parent compound after intravenous dosing”, and with the same pharmacokinetic profile, toxicity and clinical activity. However, due to its increased water solubility, intravenous etoposide phosphate can be given in much less volume and does not cause the acidosis and hypertension associated with high doses of the parent compound.
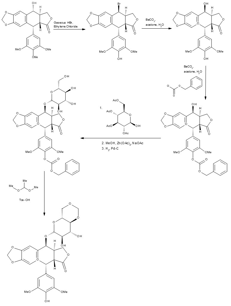
Synthetic Route

Mechanism of Action
Administered parenterally or orally, etoposide’s antineoplastic effects are achieved by inhibition of the topoisomerase II enzyme (TOPOII). DNA topoisomerases regulate the topological state of genetic material by introducing transient breaks in the DNA molecule – and are involved in fundamental biological processes such as DNA replication, transcription, and DNA repair. TOPOII catalyses catenation/decatenation, knotting/unknotting and relaxation/supercoiling – performing all of these transformations by passing one double-stranded DNA segment through the other. Etoposide poisons the TOPOII cleavage complexes and inhibits the second step of the reaction (DNA re-ligation) - thereby causing errors in DNA synthesis at the premitotic stage of cell division, which can lead to apoptosis of the cancer cell. The isoenzyme TOPOII-alpha (TOP2A) is responsible for cell cycle events such as DNA replication and chromosome segregation, and is overexpressed in tumor cells - making it an ideal target for anti-cancer drugs. TOPOII-beta is implicated in transcription associated with developmental and differentiation programs, but its inhibition is not associated with anti-tumour activity.
Outlook
Although it may be considered “by today’s standards, an ancient anticancer drug”, scientists are still actively interested in researching etoposide, for a variety of reasons.
Perhaps the primary goal is producing new etoposide-related cancer treatments that improve on the original by mitigating some of its side-effects – which include gastrointestinal toxicity, neurotoxicity, hair-loss, and bone marrow suppression. Another key objective is to secure enough podophyllotoxin extracts to meet production requirements. Since the American mandrake is difficult to grow on a large scale, researchers have turned their attention to fungal sources – including Fusarium oxysporum, Fungus Alternaria, Trametes histuria, and Aspergillus fumigatus – although none has proven fruitful thus far.
Given that podophyllum has traditionally been “a medicine of most extensive service”, extracts have long been investigated for their inhibitory effects on viruses such as measles and herpes simplex – while etoposide was redeveloped to manage cytokine storm complications in COVID-19 patients.
The drug’s antibacterial qualities also remain under active investigation – for example in an Indian research study last year which reported that an etoposide-loaded eggshell-derived hydroxyapatite combination showed promise in preventing osteomyelitis due to Staphylococcus aureus following bone surgery.
Your etoposide analysis covered - with LGC Mikromol, Dr Ehrenstorfer, and TRC
To support your analysis and help ensure the accuracy of your quality control processes, LGC Mikromol supplies an ISO 17025-accredited pharmaceutical API reference standard for etoposide, together with a fast-growing range of impurity products (see table below). You can explore our full range of Mikromol API, impurity and excipient reference standards here. We also provide a large selection of TRC research chemicals to support your etoposide studies, including several deuterium labelled products and impurities. Meanwhile, LGC Dr Ehrenstorfer food, beverage and environment reference materials for etoposide can facilitate testing of its impact on the natural world.
|
Etoposide – MM0492.00 Etoposide Phosphate – MM3886.00

Other related products
Part Number | Cas Number | Part Description |
23363-35-1 | 4'-Demethylepipodophyllotoxin 9-(β-D-Glucopyranoside) (Lignan P) | |
6559-91-7 | 4'-Demethylepipodophyllotoxin | |
| | n/a | Lignan P Phosphate |
518-28-5 | Podophyllotoxin |